Acertijos y mas cosas
♠ ♠ ♠ ♠ ♠ ♠ Un blog de acertijos, juegos de ingenio y logica, puzzles y problemas de pensamiento lateral
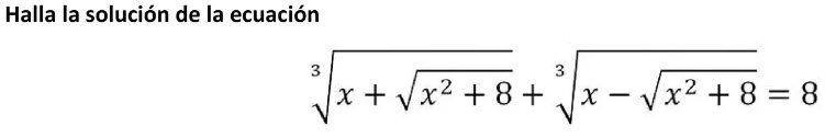
[spoiler]280.[/spoiler]
Los comentarios están cerrados.
[spoiler]280.[/spoiler]